100 843 läst ·
63 svar
101k läst
63 svar
Program för elritning
Det spelar heller ingen roll i detta sammanhang.elmont skrev:
Här handlar det om att jag själv som gör dokumentationen ska komma ihåg hur elen är dragen och var. Om någon annan litar på min ritning eller inte är ej relevant. Jag skulle själv använda det som "så är borde det se ut" och sedan får man ju vara öppen för möjligheten att det inte är så, och agera därefter.
Jag håller med om att det är en bra början att dokumentera rören.
Har du Viso så kör på det. QuickCad har lite udda symboler jag använde det mest till kopplings schemor för elektronik där jag arbetade förut. Vi hade Visio men när Microsoft köpte det så blev licenserna mycket dyrare så vi gick över till QuikCad. Det var några år sedan så jag kan inte på rak arm svara på vilka symboler och objekt som finns men det fungerade bra till elektronik ritningar.
Nej, det ser jag på gruppschemat när jag skrivit ett sådant.
Jag vill inte vara helt utelämnad till någon extern part att förstå hur elen är kopplad och därför behöver jag dokumentation. Dessutom är det förstås MYCKET enklare för en elektriker på besök om det finns dokumentation, oavsett vilken nivå han behöver för att göra jobbet.
Hur mycket jag gör i egen regi eller mha folk som kan men saknar behörighet vs vad jag tar extern hjälp med är nog en fråga som passar bättre i en annan tråd.
Jag vill inte vara helt utelämnad till någon extern part att förstå hur elen är kopplad och därför behöver jag dokumentation. Dessutom är det förstås MYCKET enklare för en elektriker på besök om det finns dokumentation, oavsett vilken nivå han behöver för att göra jobbet.
Hur mycket jag gör i egen regi eller mha folk som kan men saknar behörighet vs vad jag tar extern hjälp med är nog en fråga som passar bättre i en annan tråd.
Hobbyelektriker
· Värmland, Molkom
· 26 155 inlägg
Hur avancerat och snyggt behöver det vara? Google draw är gratis och mycket enkel att använda.
Du får dock acceptera ett enlinjeschema, annars blir det way för krångligt.
Ett litet bibliotek över vanliga symboler får man dock bygga upp själv, men det är som sagt ganska enkelt.
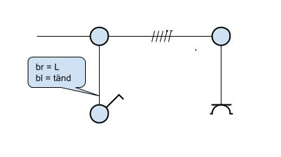
Man får göra lite eftergifter på symbolerna om man vill kunna flytta runt på dosor och få alla linjer att hänga med, t.ex i form av en textruta på kabel som anger antal (och funktion). I exemplet nedan kommer inte tvärstrecken som anger antal ledare att hänga med.

Du får dock acceptera ett enlinjeschema, annars blir det way för krångligt.
Ett litet bibliotek över vanliga symboler får man dock bygga upp själv, men det är som sagt ganska enkelt.
Man får göra lite eftergifter på symbolerna om man vill kunna flytta runt på dosor och få alla linjer att hänga med, t.ex i form av en textruta på kabel som anger antal (och funktion). I exemplet nedan kommer inte tvärstrecken som anger antal ledare att hänga med.

Well, lite detektivarbete blir det ju, men jag har ju själv varit med och dragit alla rör osv under 15 år så helt blankt är det ju inte, men minnet börjar ju svikta och jag skulle vilja ha det på papper......
Hobbyelektriker
· Värmland, Molkom
· 26 155 inlägg
Du är minsann inte lätt att göra nöjdMathiasS skrev:
Nu är jag inte insatt i Visio, men hur funkar den från början? Google draw har handtag på sina symboler "från början" så allt hänger med bara man använder sådana.
https://www.byggahus.se/forum/el/5984-el-symboler.htmlmexitegel skrev:

